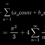
En este vídeo, veremos otra demostración de un problema que ya hemos visto antes en el canal, la del problema de Basilea. En este caso, llegaremos al valor que converge la serie, utilizando series de Fourier.
En este vídeo, veremos otra demostración de un problema que ya hemos visto antes en el canal, la del problema de Basilea. En este caso, llegaremos al valor que converge la serie, utilizando series de Fourier.