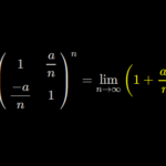
En este vídeo, vamos a usar lo que explicamos en dos videos anteriores. Por un lado la representación de números complejos mediante matrices. Por otro lado, la solución de un limite de matrices. Veremos como usando la representación de números complejos mediante matrices podemos resolver el limite de la matriz de una forma mucho mas rápida y sencilla usando la formula de Euler.


