Ir al contenido
Área Privada
Equipo de Twitch
¿Quiénes somos?
Coordinación
Colaboradores
Código dentológico
¿Qué quieres ver?
Programas de ScenioTv
Programas de Scenews
Vídeos
Programas de Radio y Podcast
Dibujos y Cómics
Juegos y Espectáculos
Eventos
Scenio Bilbao 2018
Scenio Winter Camp
Únete
Contacto
Equipo de Twitch
¿Quiénes somos?
Coordinación
Colaboradores
Código dentológico
¿Qué quieres ver?
Programas de ScenioTv
Programas de Scenews
Vídeos
Programas de Radio y Podcast
Dibujos y Cómics
Juegos y Espectáculos
Eventos
Scenio Bilbao 2018
Scenio Winter Camp
Únete
Contacto
Facebook
Twitter
Youtube
Instagram
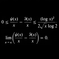
Desigualdad y limite entre las dos funciones de chebyshev 3
Deja una respuesta
Cancelar la respuesta
Lo siento, debes estar
conectado
para publicar un comentario.