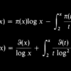
En este vídeo veremos dos igualdades que relacionan una función de Chebyshev con la función contadora de primos. Demostraremos estos resultados usando la identidad de Abel, y permitirá demostrar propiedades de los primos usando la función de Chebyshev.


