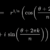
En este vídeo veremos un tema muy importante para los números complejos. Veremos como es la formula para las raíces enésimas de un número complejo.
En este vídeo veremos un tema muy importante para los números complejos. Veremos como es la formula para las raíces enésimas de un número complejo.
