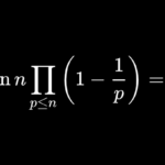
En este video enunciaremos los tres teoremas de Mertens, estos son tres teoremas relacionados con la series infinitas y los números primos. De esta forma, seguimos explorando resultados similares a algunos ya vistos en otros vídeos, como que la serie de los inversos de los números primos diverge.


