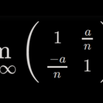
En este video vamos a mezclar el análisis con el álgebra lineal. Veremos un límite de una composición sucesiva de una matriz y como podemos resolverlo utilizando la exponencial de una matriz vista en otro video.
En este video vamos a mezclar el análisis con el álgebra lineal. Veremos un límite de una composición sucesiva de una matriz y como podemos resolverlo utilizando la exponencial de una matriz vista en otro video.
