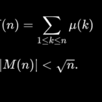
En este vídeo hablaremos de la conjetura de Mertens, esta es otra conjetura que involucra de forma indirecta, mediante la función de Moebius, a la distribución de los números primos. Por esta razón es una conjetura que se relaciona con la hipótesis de Riemann.


