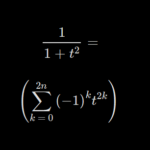
En este vídeo, usaremos lo que vimos en el anterior, sobre la formula de la suma geométrica finita, para demostrar otra formula de una suma que da igual a 1/1+t^2. En la formula obtenida, habrá un parecido con un polinomio de Taylor y su resto, pero en ningún momento usaremos derivadas.


