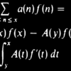
En este vídeo, vamos a ver una identidad muy importante para teoría de números. La identidad de Abel generaliza la formula de suma de Euler, y además permite demostrar muchos resultados importantes.
En este vídeo, vamos a ver una identidad muy importante para teoría de números. La identidad de Abel generaliza la formula de suma de Euler, y además permite demostrar muchos resultados importantes.