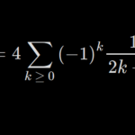
En este vídeo, demostraremos una famosa fórmula para pi en términos de una serie. La formula fue probada por primera vez por Leibniz, aunque la demostración que veremos es distinta. Usaremos dos resultados de dos vídeos anteriores, primero, la derivada del arcotangente y luego la suma que nos daba igual a 1/(1+t^2). Usando esos resultados demostraremos la veracidad de la fórmula.


