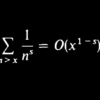
En este vídeo continuamos viendo distintas formas asintóticas asociadas a la función zeta de Riemann. En este caso veremos que ocurre con «la parte de atrás» de las sumas parciales. Veremos que esta parte no crece mas rápido que x^(1-s).
En este vídeo continuamos viendo distintas formas asintóticas asociadas a la función zeta de Riemann. En este caso veremos que ocurre con «la parte de atrás» de las sumas parciales. Veremos que esta parte no crece mas rápido que x^(1-s).