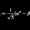
En este vídeo, demostraremos la formula cerrada para la sucesión de Fibonacci, y lo haremos por inducción. La formula, involucra el famoso número áureo, que ya hemos demostrado en otro vídeo que es irracional.
En este vídeo, demostraremos la formula cerrada para la sucesión de Fibonacci, y lo haremos por inducción. La formula, involucra el famoso número áureo, que ya hemos demostrado en otro vídeo que es irracional.