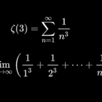
Ya hemos visto en otro vídeo el problema de Basilea, una serie infinita cuyo valor es pi al cuadrado divido por seis. Ahora veremos una serie parecida, en vez de tener la serie de 1/n^2 tendremos la de 1/n^3. Veremos que es lo que se sabe sobre esa serie y a lo que converge, la constante de Apéry.


