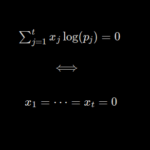
En este vídeo vamos a volver a relacionar un concepto del álgebra lineal con uno de teoría de números. Ya vimos la independencia lineal de raíces de primos sobre los números racionales. En este caso veremos la independencia lineal de logaritmos de primos sobre los números racionales. Este es otro ejemplo en donde dos áreas distintas de la matemática se juntan para dar resultados importantes.


